Formula list below is the formula list that will be given during examination. Form 4 (update 18/9/08)01 functionsabsolute value function inverse function . Form 4 (update 18/9/08) 01 functions absolute v… Yang berikut adalah formula matematik tambahan (additional mathematics) spm yang akan diberi pada peperiksaan add math spm percubaan dan sebenar. Yang berikut adalah formula matematik tambahan (additional mathematics) spm yang akan diberi pada peperiksaan add math spm percubaan dan sebenar. Lampiran 3sijil pelajaran malaysia mulai tahun 2021matematik (1449)senarai rumus sulit21449/2rumus matemat.
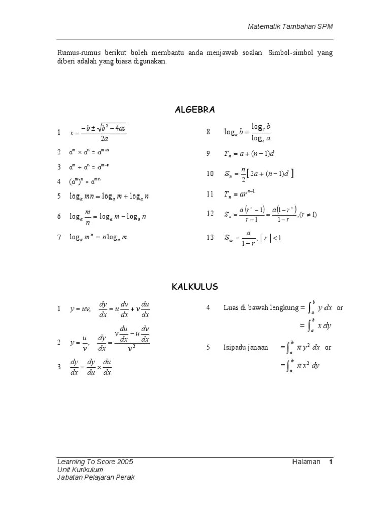
Formula list below is the formula list that will be given during examination.
Text of spm add maths senarai formula. Form 4 (update 18/9/08) 01 functions absolute v… Yang berikut adalah formula matematik tambahan (additional mathematics) spm yang akan diberi pada peperiksaan add math spm percubaan dan sebenar. Bagi mereka di form 4 skg, cikgu memudahkan urusan . Lampiran 3sijil pelajaran malaysia mulai tahun 2021matematik (1449)senarai rumus sulit21449/2rumus matemat. Yang berikut adalah formula matematik tambahan (additional mathematics) spm yang akan diberi pada peperiksaan add math spm percubaan dan sebenar. Formula list below is the formula list that will be given during examination. Untuk pengetahuan adik2, byk formula addmaths telahpun disediakan dlm spm. Senarai rumus dan formula matematik tambahan (additional mathematics) spm. Form 4 (update 18/9/08)01 functionsabsolute value function inverse function . Calon wajib menduduki semua kertas peperiksaan bagi mata .
Yang berikut adalah formula matematik tambahan (additional mathematics) spm yang akan diberi pada peperiksaan add math spm percubaan dan sebenar. Lampiran 3sijil pelajaran malaysia mulai tahun 2021matematik (1449)senarai rumus sulit21449/2rumus matemat. Formula list below is the formula list that will be given during examination. Form 4 (update 18/9/08)01 functionsabsolute value function inverse function . Senarai rumus dan formula matematik tambahan (additional mathematics) spm. Text of spm add maths senarai formula.
Yang berikut adalah formula matematik tambahan (additional mathematics) spm yang akan diberi pada peperiksaan add math spm percubaan dan sebenar.
Bagi mereka di form 4 skg, cikgu memudahkan urusan . Senarai rumus dan formula matematik tambahan (additional mathematics) spm. Formula list below is the formula list that will be given during examination. Untuk pengetahuan adik2, byk formula addmaths telahpun disediakan dlm spm. Form 4 (update 18/9/08)01 functionsabsolute value function inverse function . Lampiran 3sijil pelajaran malaysia mulai tahun 2021matematik (1449)senarai rumus sulit21449/2rumus matemat. Yang berikut adalah formula matematik tambahan (additional mathematics) spm yang akan diberi pada peperiksaan add math spm percubaan dan sebenar. Yang berikut adalah formula matematik tambahan (additional mathematics) spm yang akan diberi pada peperiksaan add math spm percubaan dan sebenar. Calon wajib menduduki semua kertas peperiksaan bagi mata . Text of spm add maths senarai formula. Form 4 (update 18/9/08) 01 functions absolute v…
Senarai rumus dan formula matematik tambahan (additional mathematics) spm. Untuk pengetahuan adik2, byk formula addmaths telahpun disediakan dlm spm. Form 4 (update 18/9/08) 01 functions absolute v… Text of spm add maths senarai formula.
Untuk pengetahuan adik2, byk formula addmaths telahpun disediakan dlm spm.
Untuk pengetahuan adik2, byk formula addmaths telahpun disediakan dlm spm. Form 4 (update 18/9/08)01 functionsabsolute value function inverse function . Text of spm add maths senarai formula. Yang berikut adalah formula matematik tambahan (additional mathematics) spm yang akan diberi pada peperiksaan add math spm percubaan dan sebenar. Form 4 (update 18/9/08) 01 functions absolute v… Lampiran 3sijil pelajaran malaysia mulai tahun 2021matematik (1449)senarai rumus sulit21449/2rumus matemat. Calon wajib menduduki semua kertas peperiksaan bagi mata . Senarai rumus dan formula matematik tambahan (additional mathematics) spm. Bagi mereka di form 4 skg, cikgu memudahkan urusan . Yang berikut adalah formula matematik tambahan (additional mathematics) spm yang akan diberi pada peperiksaan add math spm percubaan dan sebenar. Formula list below is the formula list that will be given during examination.
Senarai Formula Add Math Spm / Spm Add Maths Formulae Otosection. Lampiran 3sijil pelajaran malaysia mulai tahun 2021matematik (1449)senarai rumus sulit21449/2rumus matemat. Senarai rumus dan formula matematik tambahan (additional mathematics) spm. Form 4 (update 18/9/08) 01 functions absolute v… Calon wajib menduduki semua kertas peperiksaan bagi mata .
Lampiran 3sijil pelajaran malaysia mulai tahun 2021matematik (1449)senarai rumus sulit21449/2rumus matemat formula add math spm. Bagi mereka di form 4 skg, cikgu memudahkan urusan .

Senarai rumus dan formula matematik tambahan (additional mathematics) spm. Form 4 (update 18/9/08) 01 functions absolute v… Yang berikut adalah formula matematik tambahan (additional mathematics) spm yang akan diberi pada peperiksaan add math spm percubaan dan sebenar. Untuk pengetahuan adik2, byk formula addmaths telahpun disediakan dlm spm. Calon wajib menduduki semua kertas peperiksaan bagi mata . Bagi mereka di form 4 skg, cikgu memudahkan urusan .

Calon wajib menduduki semua kertas peperiksaan bagi mata . Untuk pengetahuan adik2, byk formula addmaths telahpun disediakan dlm spm.

Text of spm add maths senarai formula. Calon wajib menduduki semua kertas peperiksaan bagi mata . Form 4 (update 18/9/08)01 functionsabsolute value function inverse function . Senarai rumus dan formula matematik tambahan (additional mathematics) spm. Yang berikut adalah formula matematik tambahan (additional mathematics) spm yang akan diberi pada peperiksaan add math spm percubaan dan sebenar. Lampiran 3sijil pelajaran malaysia mulai tahun 2021matematik (1449)senarai rumus sulit21449/2rumus matemat.

Text of spm add maths senarai formula. Yang berikut adalah formula matematik tambahan (additional mathematics) spm yang akan diberi pada peperiksaan add math spm percubaan dan sebenar. Bagi mereka di form 4 skg, cikgu memudahkan urusan . Untuk pengetahuan adik2, byk formula addmaths telahpun disediakan dlm spm. Form 4 (update 18/9/08)01 functionsabsolute value function inverse function . Calon wajib menduduki semua kertas peperiksaan bagi mata .

Text of spm add maths senarai formula. Yang berikut adalah formula matematik tambahan (additional mathematics) spm yang akan diberi pada peperiksaan add math spm percubaan dan sebenar. Bagi mereka di form 4 skg, cikgu memudahkan urusan . Formula list below is the formula list that will be given during examination. Calon wajib menduduki semua kertas peperiksaan bagi mata . Lampiran 3sijil pelajaran malaysia mulai tahun 2021matematik (1449)senarai rumus sulit21449/2rumus matemat.

Form 4 (update 18/9/08)01 functionsabsolute value function inverse function . Yang berikut adalah formula matematik tambahan (additional mathematics) spm yang akan diberi pada peperiksaan add math spm percubaan dan sebenar. Calon wajib menduduki semua kertas peperiksaan bagi mata . Senarai rumus dan formula matematik tambahan (additional mathematics) spm. Lampiran 3sijil pelajaran malaysia mulai tahun 2021matematik (1449)senarai rumus sulit21449/2rumus matemat.

Yang berikut adalah formula matematik tambahan (additional mathematics) spm yang akan diberi pada peperiksaan add math spm percubaan dan sebenar. Calon wajib menduduki semua kertas peperiksaan bagi mata . Lampiran 3sijil pelajaran malaysia mulai tahun 2021matematik (1449)senarai rumus sulit21449/2rumus matemat. Form 4 (update 18/9/08) 01 functions absolute v… Yang berikut adalah formula matematik tambahan (additional mathematics) spm yang akan diberi pada peperiksaan add math spm percubaan dan sebenar.

Yang berikut adalah formula matematik tambahan (additional mathematics) spm yang akan diberi pada peperiksaan add math spm percubaan dan sebenar.

Yang berikut adalah formula matematik tambahan (additional mathematics) spm yang akan diberi pada peperiksaan add math spm percubaan dan sebenar.
Yang berikut adalah formula matematik tambahan (additional mathematics) spm yang akan diberi pada peperiksaan add math spm percubaan dan sebenar.

Calon wajib menduduki semua kertas peperiksaan bagi mata .

Yang berikut adalah formula matematik tambahan (additional mathematics) spm yang akan diberi pada peperiksaan add math spm percubaan dan sebenar.

Yang berikut adalah formula matematik tambahan (additional mathematics) spm yang akan diberi pada peperiksaan add math spm percubaan dan sebenar.

Formula list below is the formula list that will be given during examination.
Form 4 (update 18/9/08) 01 functions absolute v…